4.5.1 Beispiele zur Kurvendiskussion

Beispiel 1:

Gegeben ist die Funktion \(f(x)=\frac{1}{3}x^3-x^2-2x+\frac{8}{3}\)

  1. Gib die Definitionsmenge \(D_f\) an.
  2. Bestimme die Schnittpunkte mit den Koordinatenachsen
    (Eine Nullstelle kann man erraten!).
  3. Bestimme das Verhalten der Funktion im Unendlichen!
  4. Bestimme die Steigung des Graphen für die x-Werte \(-2; -1; 1\) und \(4,5\).
    Gib jeweils an, ob der Graph an diesen Stellen steigt oder fällt.
  5. Bestimme die Gleichung der Tangenten \(t\) am Punkt \(P(1 ; y_P)\).
  6. Fertige eine exakte Zeichnung des Graphen von \(f\) und des Graphen von \(f'\) in einem gemeinsamen Koordinatensystem im Intervall \( [-3 ; 5 ] \) an.

Beachte:
Eine "exakte Zeichnung" bedeutet, dass ausreichend viele Punkte berechnet werden müssen, damit ein möglichst detailgetreuer Graph gezeichnet werden kann!

  \( \Rightarrow\) Minimum alle cm auf der x-Achse ein Punkt!


Lösung Teilaufgaben a) - d)
Lösung Seite 1
Lösung Teilaufgaben e) + f)
Lösung Seite 2

 

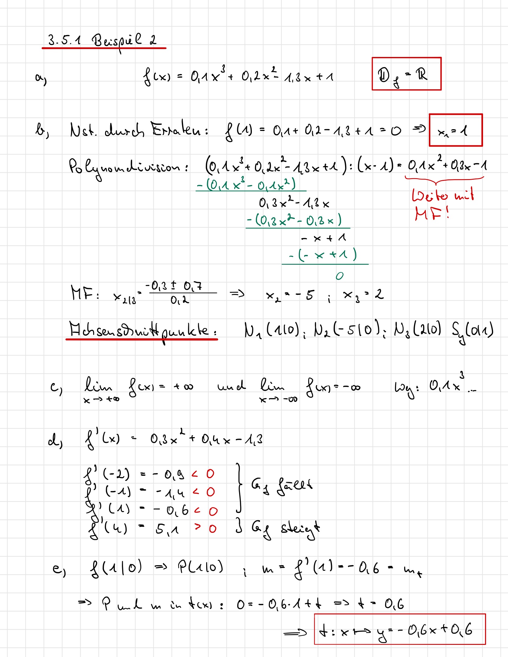
Beispiel 2:

Gegeben ist die Funktion \(f(x)=0,1x^3+0,2x^2-1,3x+1\)

 


Lösung Teilaufgaben a) - e)
Lösung Seite 3
Lösung Teilaufgabe f)
Lösung Seite 4