Die natürliche Exponentialfunktion \(e^x\) ist eine mit Blick auf die Kurvendiskussion sehr bedeutsame Funktion, die häufig in Kombination mit anderen Funktionstypen vorkommt.
In diesem Kapitel werden wir nach einer Wiederholung grundlegender Techniken zur Termumformung und zum Lösen von Gleichungen mit der e-Funktion unterschiedliche Typen von e-Funktionen nach erkennbaren Mustern einteilen und mit eindeutigen Lösungsstrukturen verknüpfen.
Zur Bestimmung von Nullstellen und Extremstellen müssen wir häufig Terme umformen um Gleichungen zu lösen. Bei Berechnungen mit ln-Funktionen haben wir dazu Logarithmusgesetze verwendet.
Für Äquivalenzumformungen von Termen mit Exponentialfunktionen, insbesondere mit der e-Funktion benötigen wir unsere Potenzgesetze:
|
Für alle reellen Zahlen \(a \in R^+ \setminus \{1\} \) und \(x, y \in R\) gelten folgende Potenzgesetze:
|
Beispiele: Vereinfache folgende Terme so weit wie möglich.
| \( \frac{9-e^{2x}}{3+e^x}
=\frac{3^2-(e^x)^2}{3+e^x}= \) |
5. Potenzgesetz rückwärts |
|
| \(\frac{(3+e^x)\dot (3-e^x)}{3+e^x}=\) | 3. Binomische Formel | |
| \(3-e^x\) | Kürzen |
| \(
(-e^{2-x} \cdot (-1) \cdot (2+x)-2e^{2-x} )\cdot e^x= \) |
||
| \(
e^{2-x} \cdot ((+1) \cdot (2+x)-2) \cdot e^x= \) |
Ausklammern von \(e^{2-x} \) | |
| \(x \cdot e^{2-x} \cdot e^x =\) | Term in der Klammer zusammenfasen | |
| \(x \cdot e^{2-x+x} =x \cdot e^2\) | 1. Potenzgesetz |
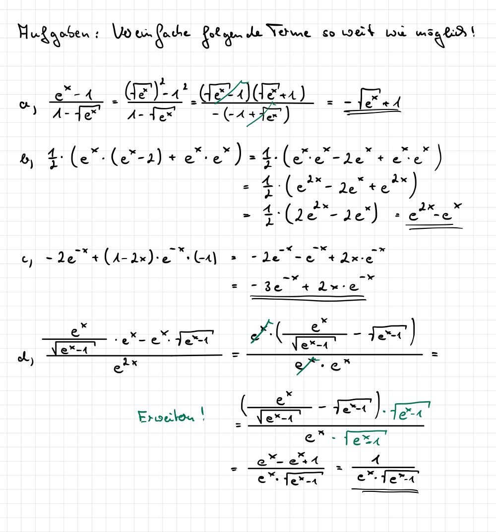
Aufgabe 1: Vereinfache folgende Terme so weit wie möglich!
a) \( \frac{e^x-1}{1-\sqrt{e^x}}\)
b) \( \frac{1}{2} \cdot (e^x \cdot (e^x -2)+e^x \cdot e^x) \)
c) \( -2e^{-x}+(1-2x) \cdot e^{-x} \cdot (-1) \)
d) \( \frac{\frac{e^x}{\sqrt{e^x-1}} \cdot e^x - e^x \cdot \sqrt{e^x-1}}{e^{2x}} \)
Lösungen
Bei der Lösung von Gleichungen mit der e-Funktion führen in der Regel folgende drei Lösungsschritte zum Ziel:
|
Schrittweises Lösen von Gleichungen mit der e-Funktion 1. Versuche die Gleichung in die Form \(e^x=k\) mit \(k \in R\) umzuformen. 2. Aufgrund der strengen Monotonie des \(ln\) gilt: \(ln(e^x)=ln(k)\) 3. Aus den Logarithmengesetzen folgt: \(x \cdot ln(e) = x = ln(k) \) |
Beispiel: Berechne die Lösung der folgenden Gleichung:
|
\(e^{-4x}-24=-4\) |
||
|
\(e^{-4x}=20\) |
e-Term isolieren | |
| \(ln(e^{-4x}) =ln(20)\) | Logarithmieren | |
| \(-4x \cdot ln(e) =ln(20)\) | Logarithmengesetze | |
| \(x= -\frac{1}{4} \cdot ln (20)\) | Auflösen nach x! |
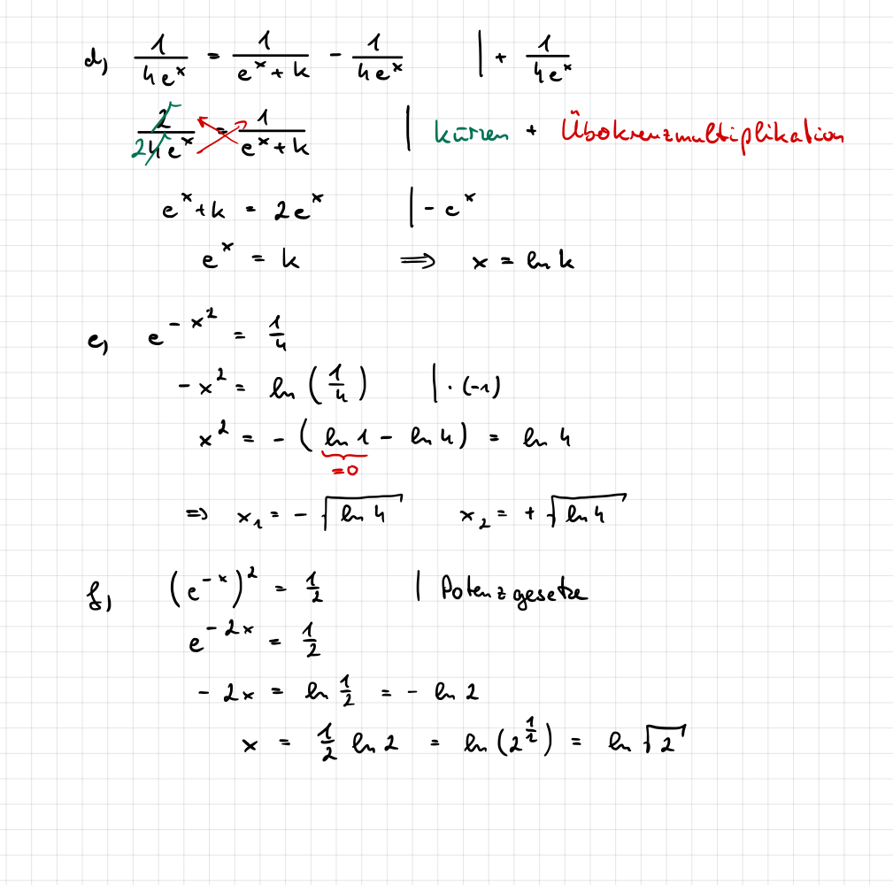
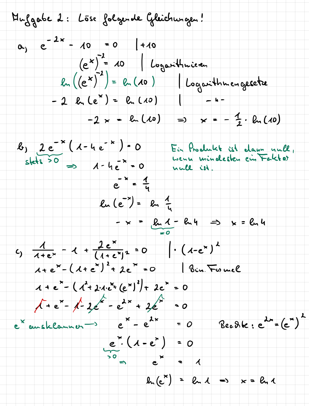
Aufgabe 2: Löse folgende Gleichungen!
a) \(e^{-2x}-10=0\)
b) \(2e^{-x}(1-4e^{-x})=0\)
c) \( \frac{1}{1+e^x}-1+\frac{2e^x}{(1+e^x)^2}=0 \)
d) \(\frac{1}{4e^x}=\frac{1}{e^x+k}-\frac{1}{4e^x}\)
e) \(e^{-x^2}= \frac{1}{4} \)
f) \((e^{-x})^2=\frac{1}{2} \)
Lösungen

-